2 温州医科大学附属第二医院急诊科 325000
2 Department of Emergency, the Second Affiliated Hospital of Wenzhou Medical University, Wenzhou 325027, China
急性呼吸衰竭(acute respiratory failure,ARF)是各种原因引起的肺通气或换气功能障碍,继而导致低氧血症,或伴二氧化碳潴留,最终出现生理功能与代谢功能紊乱的临床综合征。ARF病情往往进展迅速,死亡风险较高[1],及时准确评估病情,尽早制定临床干预策略,对改善患者预后具有重要意义。目前国内外常用SOFA评分[2]、早期预警评分[3]等预测ARF患者病死率,上述评分标准虽简便,但预测ARF的灵敏度与特异度均不高。列线图(nomogram)是一种可视化的统计模型,根据预测指标在预测模型中所占比重来计算风险评分,并得出相关临床事件发生概率的大小,有助于提高临床医师对疾病的临床决策能力[4-6]。本研究旨在通过分析ARF预后因素,构建预测其生存的列线图模型,对患者死亡风险进行评估,为临床制定针对性防治策略提供理论依据。
1 资料与方法 1.1 一般资料本研究使用了美国大型重症监护数据库(MIMIC-Ⅲ数据库),其数据来源美国马萨诸塞州波士顿贝丝以色列女执事医疗中心重症监护室(intensive care unit, ICU)。采用结构化查询语言,根据ARF的ICD-9诊断编码提取出MIMIC-Ⅲ数据库中成年ARF患者,提取其人口学信息、生命体征、急性生理评分-Ⅲ(APS-Ⅲ)及实验室检查指标等多项数据(实验室指标均为入院后24 h内数据)。研究组已完成美国国家卫生研究所的相关伦理培训课程,并取得数据库的授权(证书编号:31355221)。同时回顾性收集温州医科大学附属第二医院2010年1月至2019年12月期间收住入院的ARF患者临床资料。入选标准:住院时间≥ 24 h,年龄≥18岁,符合ARF诊断标准[7]。排除标准:自动出院,放弃治疗,数据缺失的病例。本研究符合医学伦理学标准,并经本医院伦理委员会批准,审核编号:(2020)伦研批第94号。
1.2 研究方法 1.2.1 数据分组将MIMIC-Ⅲ数据库中符合标准的827例ARF患者作为建模组,本院收集的296例的ARF作为外部验证组。利用建模组数据构建预测ARF患者30 d死亡风险列线图模型,利用验证组数据来进行模型的性能评价。
1.2.2 模型构建在建模组中,将单因素Logistic回归分析有统计学意义的变量(P < 0.05)纳入多因素Logistic回归中,采用Back-Wald法筛选变量,根据多因素logistic回归建模并绘制列线图。
1.2.3 模型验证分别在建模组(内部验证)和验证组(外部验证)中,采用受试者工作特征(receiver operating characteristic, ROC)曲线和校准图对模型的区分度和校准度进行评价。
1.3 统计学方法采用R软件(3.6.1版本)进行统计描述分析及绘图,正态分布的计量资料采用均数±标准差(Mean±SD)表示,组间比较采用LSD-t检验;非正态分布资料采用中位数(四分位数)[M(QL, QU)]表示,采用Mann-Whitney U检验比较。分类资料采用频数(百分比)表示,采用卡方检验比较。通过单因素和多因素logistic回归分析筛选ARF的独立危险因素,将单因素分析中有统计学意义(P < 0.05)的变量纳入多因素logistic回归分析。根据多因素Logistic回归分析结果并结合临床实际情况,最终确定变量构建ARF患者30 d内死亡风险列线图模型。以P < 0.05为差异有统计学意义。
2 结果 2.1 纳入患者的一般资料比较建模组共包含827例ARF患者,其中男性467例(56.5%),中位数年龄71岁,30 d病死率为49.6%;验证组共296例ARF患者,其中男性175例(59.1%),中位数年龄69岁,30 d病死率为35.1%。两组患者APS-Ⅲ评分差异无统计学意义(P > 0.05),两组患者一般资料比较见表 1。
| 指标 | 建模组(n=827) | 验证组(n=296) | P值 |
| 男性(例,%) | 467 (56.5) | 175 (59.1) | 0.387 |
| 年龄(岁) | 71 (56, 81) | 69 (57, 80) | 0.613 |
| 住院时间(d) | 5.3 (2.63, 11.24) | 4.95 (2.25, 10.21) | 0.161 |
| 体温最大值(℃) | 37.67 (37.06, 38.33) | 37.39 (36.83, 38.00) | < 0.01 |
| 心率最大值(次/min) | 112 (97, 127) | 110 (96, 126) | 0.137 |
| 收缩压最小值(mmHg) | 81 (71, 93) | 82 (71, 93.75) | 0.740 |
| 呼吸频率最大值(次/min) | 29 (25, 34) | 29 (25, 34) | 0.619 |
| 白细胞计数最大值(109/L) | 15.3 (9.75, 21.75) | 14.35 (9.83, 20) | 0.142 |
| 血红蛋白最小值(g/dL) | 9.5 (8.3, 10.9) | 9.45 (8.3, 10.9) | 0.950 |
| 血小板计数最小值(1012/L) | 161 (89.5, 236.5) | 159 (94, 248.75) | 0.799 |
| 血浆白蛋白最小值(g/dL) | 2.8 (2.3, 3.2) | 2.9 (2.4, 3.4) | 0.002 |
| 血总胆红素最大值(mg/dL) | 0.8 (0.4, 1.8) | 0.9 (0.4, 2.3) | 0.067 |
| 血肌酐最大值(mg/dL) | 1.5 (1, 2.6) | 1.6 (1, 2.8) | 0.199 |
| 血尿素氮最大值(mg/dL) | 35 (22, 57) | 35 (22, 57) | 0.933 |
| 血糖最大值(mg/dL) | 181 (146, 250) | 167 (130.25, 238) | 0.001 |
| APTT最大值(s) | 37.7 (30.05, 54.75) | 38.15 (29.9, 59.77) | 0.572 |
| PT最大值(s) | 15.9 (14, 19.5) | 16.85 (14, 23.2) | 0.001 |
| pH最小值 | 7.27 (7.17, 7.35) | 7.28 (7.18, 7.37) | 0.041 |
| 动脉血氧分压最小值(mmHg) | 70 (50, 96) | 71 (50, 96.75) | 0.391 |
| 指尖氧饱和度最小值(%) | 92 (86, 95) | 92 (87, 95) | 0.775 |
| 血乳酸最大值(mg/dL) | 2.9 (1.75, 5.65) | 2.7 (1.8, 5.2) | 0.256 |
| 有创机械通气(例,%) | 691 (83.6) | 251 (84.8) | 0.604 |
| APS-Ⅲ评分 | 61 (48, 81) | 60 (48, 80) | 0.153 |
| 24 h尿量(mL) | 1 200 (611.5, 2 001) | 1 023.5 (451.5, 1 813.75) | 0.006 |
| 30 d病死率(例,%) | 410 (49.6) | 104 (35.1) | < 0.01 |
| 注:APTT为活化部分凝血活酶时间;PT为凝血酶原时间;APS-Ⅲ为急性生理评分-Ⅲ;1 mmHg=0.133 kPa | |||
经过单因素及多因素Logistic回归分析发现,收缩压最小值、呼吸频率最大值、指氧饱和度最小值、血浆白蛋白最小值、血胆红素最大值、24 h尿量为ARF患者30 d内死亡独立预测因素,见表 2。
| 指标 | 单因素分析 | 多因素分析 | |||||
| OR (95%CI) | 回归系数 | P值 | OR (95%CI) | 回归系数 | P值 | ||
| 年龄 | 0.997(0.989~1.006) | -0.002 4 | 0.595 | - | - | ||
| 性别 | 1.092(0.829~1.438) | 0.088 1 | 0.530 | - | - | ||
| 有创机械通气 | 1.736(1.195~2.543) | 0.552 0 | 0.004 | 1.428(0.948~2.167) | 0.356 9 | 0.089 | |
| 体温 | 0.965(0.841~1.107) | -0.035 3 | 0.615 | - | - | ||
| 收缩压最小值 | 0.973(0.965~0.980) | -0.027 6 | < 0.01 | 0.988(0.979~0.997) | -0.011 7 | 0.013 | |
| 心率最大值 | 1.014(1.007~1.020) | 0.013 5 | < 0.01 | 1.006(0.999-1.013) | 0.005 8 | 0.100 | |
| 呼吸频率最大值 | 1.052(1.031~1.074) | 0.050 8 | < 0.01 | 1.028(1.005~1.051) | 0.027 4 | 0.015 | |
| 指尖氧饱和度最小值 | 0.968(0.956~0.978) | -0.033 0 | < 0.01 | 0.980(0.967~0.992) | -0.020 0 | 0.001 | |
| 动脉血氧分压最小值 | 0.997(0.994~0.999) | -0.003 1 | 0.019 | 0.999(0.997~1.003) | -0.000 1 | 0.991 | |
| 白细胞计数最大值 | 1.001(0.992~1.011) | 0.001 2 | 0.811 | - | - | ||
| 血红蛋白最小值 | 1.054(0.987~1.127) | 0.052 8 | 0.117 | - | - | ||
| 血小板计数最小值 | 0.999(0.998~1.000) | -0.000 9 | 0.129 | - | - | ||
| 血浆白蛋白最小值 | 0.569(0.460~0.702) | -0.562 8 | < 0.01 | 0.750(0.590~0.949) | -0.288 1 | 0.017 | |
| 血总胆红素最大值 | 0.570(1.020~0.702) | 0.078 2 | < 0.01 | 1.059(1.024~1.100) | 0.057 6 | 0.001 | |
| 血肌酐最大值 | 1.010(0.941~1.085) | 0.010 0 | 0.779 | - | - | ||
| 血尿素氮最大值 | 1.004(0.999~1.009) | 0.004 5 | 0.076 | - | - | ||
| 血糖最大值 | 0.999(0.998~1.001) | -0.000 4 | 0.479 | - | - | ||
| 血乳酸最大值 | 1.153(1.105~1.206) | 0.142 1 | < 0.01 | 1.040(0.988~1.097) | 0.039 4 | 0.141 | |
| pH值最小值 | 0.037(0.012~0.107) | -3.294 8 | < 0.01 | 0.415(0.100~1.709) | -0.879 4 | 0.223 | |
| APTT最大值 | 1.006(1.002~1.010) | 0.006 4 | 0.002 | 0.999(0.995~1.005) | -0.000 1 | 0.948 | |
| PT最大值 | 1.025(1.011~1.042) | 0.024 9 | 0.001 | 1.008(0.993~1.024) | 0.008 0 | 0.313 | |
| 24 h尿量 | 0.999(0.999~0.999) | -0.000 4 | < 0.01 | 0.999(0.999~0.999) | 0.000 2 | < 0.01 | |
| 注:APTT为活化部分凝血活酶时间;PT为凝血酶原时间;APS-Ⅲ为急性生理评分-Ⅲ | |||||||
根据多因素Logistic回归分析结果,将收缩压最小值、呼吸频率最大值、指氧饱和度最小值、血浆白蛋白最小值、血胆红素最大值、24 h尿量纳入列线图模型,同时结合临床实际情况将心率最大值与年龄亦纳入预测模型。列线图模型各因素评分和风险见图 1,总分越高代表ARF患者30 d内死亡风险越高。
|
| 图 1 ARF患者30d内死亡风险列线图 Fig 1 Nomogram to predicting 30-day mortality in ARF patients |
|
|
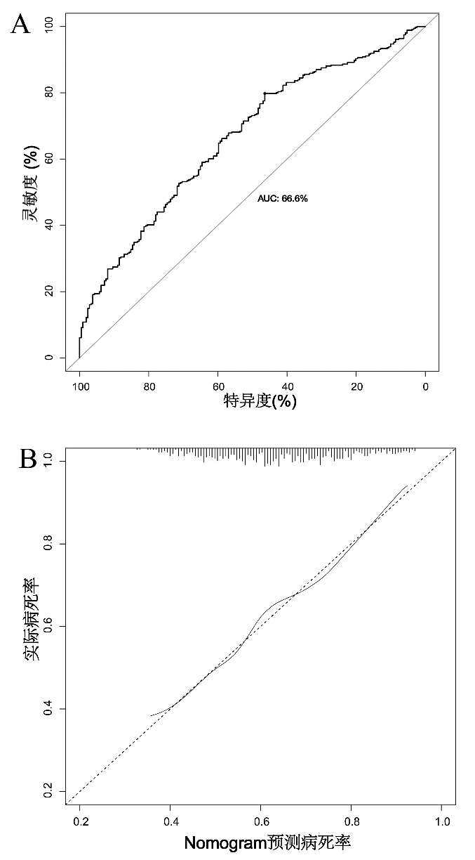
基于列线图分析结果,该模型预测ARF患者30 d内死亡风险的ROC曲线下面积(AUC)为0.752,95%CI:0.719~0.784(图 2A),采用Bootstrap法绘制内部校准图发现校准曲线贴近标准曲线,提示列线图模型区分度及预测能力均较好(图 2B)。列线图外部验证显示其预测死亡风险的AUC为0.666,95%CI:0.621~0.711(图 3A),外部校准图发现校准曲线仍贴近标准曲线(图 3B),提示在外部数据中仍具有预测价值。
|
| A :列线图曲线下面积(AUC); B :列线图内部校准图 图 2 列线图的区分度和校准度 Fig 2 The discrimination and calibration curve of nomogram |
|
|
|
| A:外部验证曲线下面积(AUC); B:外部校准图 图 3 列线图外部验证的区分度和校准度 Fig 3 The discrimination and calibration curve of nomogram in validation cohort |
|
|
本研究通过单因素、多因素Logistic回归筛选出9项构建ARF死亡风险列线图的变量,其中年龄因素虽经单因素和多因素分析未显示为ARF死亡风险危险因素,但高龄被认为是慢性阻塞性肺疾病(COPD)急性加重期并发Ⅱ型呼吸衰竭的危险因素[8],而年龄75岁以上的ARF患者ICU住院时间会延长,且病死率明显增加[9]。可见年龄因素是评估ARF预后的重要指标之一,本研究最终仍将其列为ARF死亡风险列线图独立变量。有创通气虽为ARF的主要治疗措施,但其使用也间接反映了患者病情严重[10],亦可设为评估患者预后独立危险因素。
生命体征是判断患者呼吸衰竭预后的重要指标,患者入院时的最高呼吸频率、最低收缩压及血氧饱和度等生命体征均是ARF死亡风险因素,其中最低收缩压尤为重要,其所占列线图预测权重最大。研究表明,急性心肌梗死继发呼吸衰竭需有创机械通气支持的原因主要与心源性休克有关,而心率增快是早期休克的表现之一[11]。鉴于心率在ARF预后评估中的重要性,本研究将其也纳入构建列线图模型的独立危险因素。另外,尿量也是反映休克患者肾脏有效灌注的重要指标,其在一定程度上受收缩压影响。白蛋白由肝脏合成,是人体内一种重要的营养物质,在机体中具有重要的生理功能,其下降是评估住院患者预后不良的重要生物标志物[12],也是老年重症肺炎合并ARF患者预后不良的危险因素[13]。胆红素则是判定黄疸的重要依据,也是评估肝功能的重要指标。近年来,以胆红素与血清白蛋白为核心的白蛋白-胆红素(ALBI)评分常被用于评估肝细胞癌患者肝功能障碍严重程度及其他恶性肿瘤的预后,两者在肝功能评估方面均具有重要意义[14]。本研究显示,随着ARF患者血清白蛋白的下降及胆红素的增高,其死亡风险评分逐渐增加,提示两者在ARF患者死亡风险评估中同样具有重要意义,且高胆红素血症的死亡风险高于低白蛋白血症。
目前尚无关于ARF患者预后的相关列线图报道,而既往的研究所采用的指标较为单一或难以获得[15-16],难以在临床中应用。本研究所建立的ARF患者死亡风险列线图所纳入的指标为患者生命体征、血清标志物以及临床特征等常见且易获得的指标,在不同等级医院中均可适用。本研究通过建立ARF患者死亡风险列线图,利用易操作的可视化界面实现计算死亡危险评分,可以快速得出ARF患者30 d内死亡事件发生的概率。该模型ROC曲线下面积AUC大于0.7,提示其具有良好的区分度及较准确的预测能力。校准图显示校准曲线贴近标准曲线,说明模型的预测能力较稳定,具有较好的校准度,同时经本院患者资料进行外部验证,仍具有良好的预测价值。本列线图预测模型有助于临床医生准确评估ARF病情预后,尽早制定客观的ARF救治决策,提高ARF患者生存率。
利益冲突 所有作者均声明不存在利益冲突
| [1] | Wang S, Singh B, Tian L, et al. Epidemiology of noninvasive mechanical ventilation in acute respiratory failure--a retrospective population-based study[J]. BMC Emerg Med, 2013, 13: 6. DOI:10.1186/1471-227X-13-6 |
| [2] | Du XM, Hu H, He YR, et al. Application of SOFA score as a predict tool for mortality of delayed admission to ICU on patients with acute respiratory failure[J]. Am J Emerg Med, 2017, 35(6): 914-915. DOI:10.1016/j.ajem.2017.02.034 |
| [3] | Dziadzko MA, Novotny PJ, Sloan J, et al. Multicenter derivation and validation of an early warning score for acute respiratory failure or death in the hospital[J]. Crit Care, 2018, 22(1): 286. DOI:10.1186/s13054-018-2194-7 |
| [4] | Callegaro D, Miceli R, Mariani L, et al. Soft tissue sarcoma nomograms and their incorporation into practice[J]. Cancer, 2017, 123(15): 2802-2820. DOI:10.1002/cncr.30721 |
| [5] | Wang Y, Sun K, Shen J, et al. Novel prognostic nomograms based on inflammation-related markers for patients with hepatocellular carcinoma underwent hepatectomy[J]. Cancer Res Treat, 2019, 51(4): 1464-1478. DOI:10.4143/crt.2018.657 |
| [6] | Zhou Z, Mo S, Dai W, et al. Prognostic nomograms for predicting cause-specific survival and overall survival of stage Ⅰ-Ⅲ colon cancer patients: a large population-based study[J]. Cancer Cell Int, 2019, 19: 355. DOI:10.1186/s12935-019-1079-4 |
| [7] | Bellani G, Laffey JG, Pham T, et al. Epidemiology, patterns of care, and mortality for patients with acute respiratory distress syndrome in intensive care units in 50 countries[J]. JAMA, 2016, 315(8): 788-800. DOI:10.1001/jama.2016.0291 |
| [8] | 宋娇, 李飞, 张洁, 等. 慢性阻塞性肺疾病急性加重期并发Ⅱ型呼吸衰竭的危险因素Logistic回归分析[J]. 临床医学, 2019, 39(7): 13-16. DOI:10.19528/j.issn.1003-3548.2019.07.005 |
| [9] | Lai CC, Tseng KL, Ho CH, et al. Prognosis of patients with acute respiratory failure and prolonged intensive care unit stay[J]. J Thorac Dis, 2019, 11(5): 2051-2057. DOI:10.21037/jtd.2019.04.84 |
| [10] | Vallabhajosyula S, Kashani K, Dunlay SM, et al. Acute respiratory failure and mechanical ventilation in cardiogenic shock complicating acute myocardial infarction in the USA, 2000-2014[J]. Ann Intensive Care, 2019, 9(1): 96. DOI:10.1186/s13613-019-0571-2 |
| [11] | Rubini Gimenez M, Miller PE, Alviar CL, et al. Outcomes associated with respiratory failure for patients with cardiogenic shock and acute myocardial infarction: a substudy of the CULPRIT-SHOCK Trial[J]. J Clin Med, 2020, 9(3): 860. DOI:10.3390/jcm9030860 |
| [12] | Akirov A, Masri-Iraqi H, Atamna A, et al. Low albumin levels are associated with mortality risk in hospitalized patients[J]. Am J Med, 2017, 130(12): 1465.e11-1465.e19. DOI:10.1016/j.amjmed.2017.07.020 |
| [13] | 陈晓珊, 李希, 杨荀. 影响老年重症肺炎合并急性呼吸衰竭预后的危险因素分析[J]. 实用老年医学, 2019, 33(11): 1117-1120. DOI:10.3969/j.issn.1003-9198.2019.11.020 |
| [14] | 曾勇超, 戴朝六, 卜献民, 等. ALBI评分与Child-Pugh评分对肝癌肝切除术后肝衰竭预测的比较[J]. 中华普通外科杂志, 2019, 34(8): 649-651. DOI:10.3760/cma.j.issn.1007-631X.2019.08.001 |
| [15] | 高延秋, 张根生, 李双凤, 等. 血管外肺水指数联合血管内皮生长因子受体1对重症肺炎ARDS合并感染性休克患者预后的评估[J]. 中华急诊医学杂志, 2018, 27(12): 1381-1387. DOI:10.3760/cma.j.issn.1671-0282.2018.12.013 |
| [16] | Kuang ZS, Yang YL, Wei W, et al. Clinical characteristics and prognosis of community-acquired pneumonia in autoimmune disease-induced immunocompromised host: A retrospective observational study[J]. World J Emerg Med, 2020, 11(3): 145-151. DOI:10.5847/wjem.j.1920-8642.2020.03.003 |
2020, Vol. 29



