2 浙江大学医学院附属第二医院放射科,杭州 310009
创伤尤其是严重创伤的救治是当前医学面临的重大难题之一,放射学检查能够快速准确地评估伤情,指导临床决策和改善救治效果,在创伤救治中具有重要价值而得到广泛应用[1]。放射学检查过程中产生的电离辐射可能增大患者肿瘤发生的潜在风险[2],特别是儿童患者[3]。国外学者指出CT检查有被过度使用的趋势,过多的放射学检查使患者暴露于较大剂量的电离辐射[4-5]。临床实践中还发现创伤患者完成一次CT检查可能需要接受多次扫描,这些非计划的重复扫描可能会进一步增加伤员的辐射剂量。本研究调查了100例严重创伤患者的CT检查资料,分析放射医师提高CT检查一次性成功率对于降低伤员电离辐射暴露的有效性,为进一步优化放射学检查策略提供科学依据。
1 资料与方法 1.1 一般资料研究于浙江大学医学院附属第二医院进行,对象为收住急诊ICU的严重创伤患者。纳入标准:①年龄≥18岁; ②受伤至入院时间≤48 h; ③损伤严重度评分(injury severity score,ISS)≥16分。排除标准:①入院24 h内死亡或自动出院; ②晚期恶性肿瘤患者; ③家属无积极治疗的意愿。
1.2 研究方法回顾性分析2011年4月至2011年11月收住急诊ICU的严重创伤患者CT检查使用情况,旨在明确创伤患者救治期间CT检查过程中非计划重复扫描情况及其原因,比较患者实际电离辐射暴露量与CT检查一次性成功产生辐射量的差异,探索降低伤员辐射暴露的有效措施。
观察指标:记录每位伤员的年龄、性别、受伤机制、受伤部位、受伤至入院时间、是否转院、ISS评分、初次查房格拉斯哥昏迷评分(Glasgow coma scale,GCS)、总住院时间及ICU住院时间、总住院费用及预后,救治期间接受CT检查的类型、部位、伤后天数及所处的治疗阶段(急诊室、ICU和普通病房)。记录每次CT检查的辐射剂量指数:CT检查的管电压(kV)、管电流(mAs)、容积CT剂量指数CTDIv(mGy)和剂量长度乘积DLP(mGy·cm)。计算患者每次CT检查的有效剂量:有效剂量(mSv)=器官组织权重因子(kct) × DLP。
数据分析:描述创伤患者救治期间CT检查过程中非计划重复扫描情况,分析患者需重复CT扫描的原因及相关因素,比较患者实际电离辐射暴露量与CT检查一次性成功产生辐射量的差异。
1.3 统计学方法采用SPSS 19.0进行统计分析,计量资料进行正态性检验,以均数±标准差(Mean±SD)或中位数(四分位数)[M(P25, P75)]表示,组间比较采用LSD-t检验(正态分布数据)或秩和检验(非正态分布数据); 计数资料率的比较采用χ2检验; 相关性分析采用Pearson相关分析法,多因素Logistic回归用于分析影响重复扫描的因素。以P < 0.05为差异有统计学意义。
2 结果 2.1 100例创伤患者的基本资料2011年4月至11月期间,急诊ICU住院患者共333例,其中102例患者符合纳入标准,排除2例(入院24 h内死亡或自动出院),最终100例患者完成观察研究,其中男81例(81.0%),女19例(19.0%); 年龄18~79岁,(47±14)岁。致伤原因:道路交通伤61例(61.0%),高处坠落伤27例(27.0%),其他原因12例(12.0%)。17例(17.0%)患者伤后直接送来本院救治,83例(83.0%)患者外院处置后转来本院,受伤至入院的中位时间为10(6~20)h。受伤部位3~6个,(3.9±0.9)个,ISS值16~57分,(34.5±10.1)分,入EICU时GCS评分为8.5(5~13)分。ICU住院时间11.0 (4.0~19.1)d,总住院时间29(16.3~41.0)d。85例患者好转出院,15例病情恶化院内死亡或家属放弃治疗自动出院。
2.2 100例患者CT检查的次数、部位构成及其辐射剂量100例患者救治期间共行CT检查(平扫/增强)855次,其中包括胸部CT血管造影(computed tomography angiography,CTA)2次和下肢CT血管造影5次。所有CT检查致辐射剂量4 498.7 mSv,其中327次头颅CT检查致电离辐射494.6 mSv(11.0%),242次胸部CT检查致辐射1 122.2 mSv(24.9%),18次腹部平扫检查致辐射155.45 mSv(3.5%),骨盆及脊柱(颈、胸腰椎)CT辐射量分别为105.1 mSv (2.3%)和704.5 mSv (15.7%),各部位骨骼CT致辐射235.9 mSv (5.6%),少量的颌面部检查致辐射17.6 mSv (0.4%)。此外52次腹部增强CT(包括上腹部及全腹部增强)检查致辐射1 430.6 mSv(31.8%); 2次胸部、5次双下肢CT血管造影检查致辐射233.1 mSv(5.2%)。
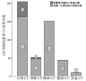
2.3 100例患者CT检查的重复扫描情况及影响因素共有71次(8.3%)的CT检查进行了两次或多次扫描,原因是检查部位移动或图像产生伪影不能满足诊断需求。其中65次(19.9%)头颅CT检查进行了重复扫描,最多重复5次; 6次(7.2%)颈椎CT需重复扫描,最多重复2次; 没有颌面部、胸腹部、胸腰椎、骨盆和四肢的CT检查需要重复扫描(图 1)。
|
| 图 1 100例创伤患者各部位CT检查的重复扫描情况 |
|
|
需要重复扫描的71次的CT检查主要集中于伤后早期,其中62次(87.3%)的CT检查在急门诊和ICU阶段,50次(70.4%)在伤后第1周。需要重复CT扫描的患者多合并颅脑外伤,伴有意识障碍,62次(87.3%)的CT检查患者合并颅脑外伤,53次(74.6%)的CT检查患者GCS评分低于9分。此外,65次(91.5%)的CT检查患者为男性(图 2)。
|
| 图 2 重复扫描的CT检查时间段、治疗阶段及患者性别、颅脑外伤和GCS评分 |
|
|
对头颅及颈椎CT检查是否需要重复扫描与其他因素进行相关分析,纳入的指标如下:患者年龄(> 或≤60岁)、性别(是否为男性)、受伤原因(是否为车祸伤)、是否合并颅脑外伤、ISS评分(> 或≤25分)、检查时间段(伤后时间 > 或≤7 d)、治疗阶段(急门诊 & ICU或普通病房)。相关分析显示头颅及颈椎CT检查是否需要重复扫描与患者年龄、受伤原因、头颅是否受伤、ISS评分、检查时间段及治疗阶段均无显著相关性(相关系数分别为-0.061、-0.069、0.013、0.013、0.028、-0.005,P均 > 0.05),与性别相关(相关系数为0.116,P=0.018)。多因素Logistic回归结果亦显示性别是影响CT重复扫描的因素,男性更容易重复扫描(表 1)。
| 因素 | β值 | OR值 | 95%CI | P值 |
| 年龄 | -0.557 | 0.573 | 0.243~1.350 | 0.203 |
| 性别 | 1.012 | 2.752 | 1.197~6.324 | 0.017 |
| 受伤原因 | -0.277 | 0.758 | 0.447~1.284 | 0.303 |
| 合并颅脑外伤 | 0.078 | 1.082 | 0.509~2.298 | 0.634 |
| ISS评分 | 0.104 | 1.110 | 0.527~2.335 | 0.784 |
| 检查时间段 | -0.191 | 0.826 | 0.376~1.815 | 0.520 |
| 治疗阶段 | 0.292 | 1.340 | 0.550~3.265 | 0.520 |
65次(19.9%)头颅CT检查进行了重复扫描显著增加了每次头颅CT的平均辐射量(Z= -6.909,P < 0.01),头颅CT的辐射总量增加了17.5%(420.8 mSv vs 494.6 mSv); 6次(7.2%)颈椎CT需重复扫描显著增加了每次颈椎CT的平均辐射量(Z= -2.201,P=0.028),颈椎CT的辐射总量增加了7.2%(240.7 mSv vs 258.0 mSv),见表 2。
| 种类 | 检查次数 | 初次扫描平均DLP (Gy·cm) | 实际扫描平均DLP (Gy·cm) | Z值 | P值 | ||
| 总检查次数 | 一次性成功检查次数 | 需多次扫描检查次数 | |||||
| 头颅CT | 327 | 262(80.1) | 65(19.9) | 605(605, 651) | 605(605, 729) | -6.909 | < 0.01 |
| 颈椎CT | 83 | 77(92.8) | 6(7.2) | 471(437, 540) | 475(437, 556) | -2.201 | 0.028 |
| 注:非正态分布数据采用[M(P25, P75)]表示 | |||||||
大量的实践证明放射学检查在严重创伤患者伤情评估、临床决策及疗效评价方面发挥着重要作用。其中CT因无创、准确性高及适用于全身大部分脏器的优点而得到广泛应用,特别是全身螺旋CT在严重创伤患者中的应用使临床评估更加准确及时,明显降低伤员急诊室滞留时间及确切治疗等待时间[6]。但近年来放射学检查使用明显增多,过多的CT检查,增加了伤员辐射暴露的风险,使伤员肿瘤发生风险显著增加[7-9]。CT检查时患者照射部位移动、扫描方案不恰当或扫描范围偏小等原因导致需反复多次扫描采集影像数据才能满足诊断需求,而这也会额外增加患者的辐射暴露。
临床实践中放射学检查的使用还存在着不规范的现象,临床医师不注重体检、以放射检查代替体检的现象不在少数,而且随意进行重复的放射检查。Hadley等[10]发现美国每3次CT检查中就有1次对疾病治疗并无直接帮助,由此可以减少39%的医疗费用。尽管国外有很多创伤中心制定创伤患者相关的CT检查策略[6, 11-12],临床实践中笔者发现伤员完成一次CT检查可能需要接受多次CT扫描,特别是那些颅脑外伤合并意识障碍的伤员CT检查有时需要多次扫描,这些非计划的重复扫描可能会进一步增加伤员的辐射剂量。
本研究中71次(8.3%)的CT检查进行了两次或多次扫描,包括65次头颅CT检查和6次颈椎CT检查,没有颌面部、胸腹部、胸腰椎、骨盆和四肢的CT检查需要重复扫描。虽然统计学分析未能发现是否需要重复CT扫描与患者年龄、受伤机制、是否合并颅脑外伤、ISS评分、检查时间段和治疗阶段等因素的显著相关性。但需要重复扫描的CT检查有如下分布趋势:主要集中于伤后早期,病情危重阶段,患者多合并颅脑外伤,伴有意识障碍。可能因为严重创伤患者,特别是合并颅脑外伤的患者,病情早期疼痛剧烈或意识障碍,不能遵从放射医师指令,CT检查过程中受照部位移动,致成像时产生伪影导致扫描失败,检查前给予恰当的镇静治疗可避免此类事件的发生。是否需要重复CT扫描与患者性别相关,可能是因为女性患者依从性较男性更好,也可能与纳入对象男女比例不均衡有关(男81.0%,女19.0%)。
本研究中19.9%头颅CT及7.2%颈椎CT检查因患者头颈部移动造成伪影需多次扫描,显著增加了患者头颈部辐射暴露量(头部增加17.5%,颈部增加7.2%),提示放射检查技术人员检查前需加强对患者宣教,规范操作减少重复检查率,特别是那些颅脑外伤躁动的患者,检查人员更要抓准时机,必要时请其他人员协助对受检者适当约束。正如同Brenner和Hall[13]提倡放射学检查使用的正当性应由临床申请检查医师和放射科医师共同负责。
总之,本研究发现创伤患者CT检查需多次扫描才能成功的现象,多见于伤后早期阶段和头颅、颈椎CT检查。提示需要充分准备,提高CT检查一次性成功率,有助于降低伤员的辐射暴露。
| [1] | 徐少文, 张茂, 干建新. 关注严重创伤救治中的几个重要问题[J]. 中华创伤杂志, 2011, 27(1): 4-7. DOI:10.3760/cma.j.issn.1001-8050.2011.01.002 |
| [2] | Zhang Y, Chen Y, Huang H, et al. Diagnostic radiography exposure increases the risk for thyroid microcarcinoma: a population-based case-control study[J]. Eur J Cancer Prev, 2015, 24(5): 439-446. DOI:10.1097/cej.0000000000000169 |
| [3] | Krille L, Dreger S, Schindel R, et al. Risk of cancer incidence before the age of 15 years after exposure to ionising radiation from computed tomography: results from a German cohort study[J]. Radiat Environ Biophys, 2015, 54(1): 1-12. DOI:10.1007/s00411-014-0580-3 |
| [4] | ÇorbacıoğluŞK, AkselG. Whole body computed tomography in multi trauma patients: Review of the current literature[J]. Turkish J Emerg Med, 2018, 18(4): 142-147. DOI:10.1016/j.tjem.2018.09.003 |
| [5] | Krantz SB, Meyers BF. Health risks from computed tomographic screening[J]. Thorac Surg Clin, 2015, 25(2): 155-160. DOI:10.1016/j.thorsurg.2014.11.003 |
| [6] | Sedlic A, Chingkoe CM, Tso DK, et al. Rapid imaging protocol in trauma: a whole-body dual-source CT scan[J]. Emerg Radiol, 2013, 20(5): 401-408. DOI:10.1007/s10140-013-1139-3 |
| [7] | Nabaweesi R, Ramakrishnaiah RH, Aitken ME, et al. Injured children receive twice the radiation dose at nonpediatric trauma centers compared with pediatric trauma centers[J]. J Am Coll Radiol, 2018, 15(1 Pt A): 58-64. DOI:10.1016/j.jacr.2017.06.035 |
| [8] | van Arnem KA, Supinski DP Jr, Tucker JE, et al. Cumulative effective radiation dose received by blunt trauma patients arriving to a military level Ⅰ trauma Center from point of injury and interhospital transfers[J]. Am J Emerg Med, 2016, 34(12): 2397-2401. DOI:10.1016/j.ajem.2016.09.018 |
| [9] | Long B, April MD, Summers S, et al. Whole body CT versus selective radiological imaging strategy in trauma: an evidence-based clinical review[J]. Am J Emerg Med, 2017, 35(9): 1356-1362. DOI:10.1016/j.ajem.2017.03.048 |
| [10] | Hadley JL, Agola J, Wong P. Potential impact of the American college of radiology appropriateness criteria on CT for trauma[J]. Am J Roentgenol, 2006, 186(4): 937-942. DOI:10.2214/ajr.05.0041 |
| [11] | Higashigaito K, Becker AS, Sprengel K, et al. Automatic radiation dose monitoring for CT of trauma patients with different protocols: feasibility and accuracy[J]. Clin Radiol, 2016, 71(9): 905-911. DOI:10.1016/j.crad.2016.04.023 |
| [12] | Baysson H, Journy N, Roue T, et al. Exposure to CT scans in childhood and long-term cancer risk: A review of epidemiological studies[J]. Bull Cancer, 2016, 103(2): 190-198. DOI:10.1016/j.bulcan.2015.11.003 |
| [13] | Brenner DJ, Hall EJ. Computed tomography: an increasing source of radiation exposure[J]. N Engl J Med, 2007, 357(22): 2277-2284. DOI:10.1056/nejmra072149 |
2019, Vol. 28



