2 首都医科大学附属北京安贞医院耳鼻咽喉头颈外科中心 100029
2 Otolaryngology Head and Neck Surgery Center, Beijing Anzhen Hopital, Capital Medical University, Beijing 100029, China
阻塞性睡眠呼吸暂停(obstructive sleep apnea,OSA)是一种常见的睡眠呼吸障碍疾病,因上气道阻塞导致睡眠呼吸暂停低通气指数(apnea hypopnea index,AHI)≥5次/h时可诊断OSA[1]。在一般成人中,OSA的患病率在4%以上[2],冠状动脉疾病患者的患病率更高,约为50% [3]。伴有OSA的冠心病患者,冠脉斑块负荷更重,发生心肌梗死后的梗死面积更大,PCI术后的血流灌注仍较差,预后不良[4-5]。OSA通过间歇性缺氧等多个方面影响心血管疾病的发生和发展[6],其中炎症起着重要作用,尤其影响动脉粥样硬化病变的进展[7]。C-反应蛋白(C-reactive protein,CRP)、纤维蛋白原等炎症标志物的升高是动脉粥样硬化和冠心病的重要危险因素[8],但在冠心病患者,尤其是急性冠脉综合征(acute coronary syndrome,ACS)患者中,研究OSA与CRP等炎症标志物关系的报道仍较少。本研究分析比较了伴或不伴OSA的ACS患者的基线资料、睡眠呼吸监测结果、高敏C反应蛋白(hs-CRP)、纤维蛋白原等实验室检查结果,旨在观察ACS患者的OSA患病情况,并分析OSA对ACS患者炎症标志物水平的影响。
1 资料与方法 1.1 一般资料本研究为前瞻性队列研究,采用连续入选的方式,纳入2015年6月至2017年5月在北京安贞医院确诊ACS的患者。ACS的标准参照第三版心肌梗死全球统一定义以及相关指南[9]。
OSA严重程度分级:AHI < 5次/h为正常; 5次/h≤AHI < 15次/h为轻度OSA; 15次/h < AHI≤30次/h为中度; AHI > 30次/h为重度[1]。流行病学研究显示,AHI≥15次/h的患者不良心血管事件发生风险明显增加[10],因此,本研究将纳入的ACS患者分为正常-轻度OSA组(AHI < 15次/h)和中重度OSA组(AHI≥15次/h)。
排除标准:中枢性睡眠呼吸暂停(central sleep apnea,CSA)患者; 入院前已知合并有OSA且接受持续气道内正压通气(continuous positive airway pressure,CPAP)等相关治疗者; 入院前已诊断有慢性肺部疾病者(如慢性阻塞性肺疾病等); 心功能NYHA分级≥Ⅲ级或心源性休克患者。患者入组前告知试验内容,签署知情同意书; 本研究符合人体试验伦理学标准,已通过北京安贞医院学术与伦理委员会批准。
1.2 实验室及睡眠呼吸检查收集患者的年龄、性别、身高、体质量、既往病史、治疗史等基线资料,记录入院后的首次血常规、血清学检查等结果(Beckman U5400,USA)。所有患者均于入院后7 d内使用便携式睡眠监测系统(Apnealink,ResMed,Australia)进行睡眠呼吸监测。睡眠呼吸监测的方法根据复杂性由高到低分为Ⅰ~Ⅳ级[11],Apnealink属于Ⅲ级检查方法,对OSA有较高的诊断价值[12]。监测参数包括:AHI、氧减指数(oxygen desaturation index,ODI)、最低/平均血氧饱和度(SaO2),血氧饱和度 < 90%的时间占总睡眠时间百分比(TSaO2 < 90%)等。检测结果由北京安贞医院睡眠中心技术人员统一分析。
1.3 结局终点比较正常-轻度OSA组和中重度OSA组患者的基线资料、实验室检查和睡眠呼吸监测结果,说明ACS患者的OSA患病情况,比较两组患者炎症标志物水平的差异,分析OSA相关参数与hs-CRP等炎症标志物的关系。
1.4 统计学方法应用SPSS 22.0软件处理相关数据。正态分布的计量资料用均数±标准差(Mean±SD)表示,两组间比较采用LSD-t检验; 非正态分布的计量资料用中位数(四分位数)[M(P25, P75)]表示,组间比较采用Mann-Whitney U检验。计数资料用频数和百分率(n, %)表示,组间比较采用χ2检验。采用Spearman秩相关检验对睡眠呼吸检测相关参数和hs-CRP进行相关分析。以P < 0.05为差异有统计学意义。
2 结果 2.1 基线资料2015年6月至2017年5月共纳入符合条件的ACS患者836例,其中正常-轻度OSA组408例,中重度OSA组428例。中重度OSA组的BMI(kg/m2)(27.67±3.54 vs 25.80±3.41,P < 0.01)、颈围(cm)[41.00(39.00,43.00)vs 39.50(37,41),P < 0.01]、腰臀比[0.99(0.96,1.02)vs 0.98(0.94,1.01),P < 0.01]以及既往PCI治疗史(20.3% vs 14.5%,P=0.026)、CABG治疗史(2.6% vs 0.5%,P=0.015)高于正常-轻度OSA组,差异有统计学意义,两组ACS患者的一般临床特点见表 1。
| 指标 | 正常-轻度OSA组(n=408) | 中重度OSA组(n=428) | χ2/t/Z值 | P值 |
| 年龄(岁) | 57.36±10.19 | 57.82±10.44 | -0.646 | 0.518 |
| 男性(例,%) | 327(80.1) | 364(85.0) | 3.498 | 0.061 |
| BMI(kg/m2) | 25.80±3.41 | 27.67±3.54 | -7.730 | < 0.01 |
| ST段抬高型心肌梗死(例,%) | 123(30.1) | 146(34.1) | 4.219 | 0.121 |
| 高血压史(例,%) | 259(63.5) | 294(68.7) | 2.533 | 0.111 |
| 糖尿病史(例,%) | 127(31.1) | 129(30.1) | 0.096 | 0.757 |
| 血脂异常(例,%) | 104(25.5) | 112(26.2) | 0.050 | 0.823 |
| 卒中史(例,%) | 35(8.6) | 45(10.5) | 0.904 | 0.342 |
| 心肌梗死病史(例,%) | 58(14.2) | 65(15.2) | 0.157 | 0.692 |
| 既往PCI史(例,%) | 59(14.5) | 87(20.3) | 4.987 | 0.026 |
| 既往CABG史(例,%) | 2(0.5) | 11(2.6) | 5.903 | 0.015 |
| 左心室射血分数(例,%) | 59.80±7.98 | 59.42±7.81 | 0.666 | 0.506 |
| 吸烟史(例,%) | 262(64.2) | 275(64.3) | 0.000 | 0.991 |
| 冠心病家族史(例,%) | 28(6.9) | 32(7.5) | 0.118 | 0.731 |
| 既往阿司匹林治疗(例,%) | 200(49.0) | 237(55.3) | 3.176 | 0.204 |
| 既往β受体阻滞剂治疗(例,%) | 121(29.6) | 140(32.7) | 0.923 | 0.630 |
| 既往CCB治疗(例,%) | 108(26.4) | 121(28.2) | 0.385 | 0.825 |
| 既往他汀类药物治疗(例,%) | 168(41.1) | 178(41.7) | 0.114 | 0.944 |
| 入院收缩压(mmHg) | 125.00(115.00, 139.75) | 125.00(115.00, 139.75) | -0.370 | 0.711 |
| 入院舒张压(mmHg) | 73.00(67.00, 82.00) | 75.00(70.00, 85.00) | -2.552 | 0.152 |
| 颈围(cm) | 39.50(37, 41) | 41.00(39.00, 43.00) | -6.525 | < 0.01 |
| 腰臀比 | 0.98(0.94, 1.01) | 0.99(0.96, 1.02) | -4.363 | < 0.01 |
| 注:OSA,阻塞性睡眠呼吸暂停; BMI,体质量指数; CCB,钙通道阻滞剂; PCI,经皮冠状动脉介入治疗; CABG,冠状动脉旁路移植术; CCB,钙离子通道阻滞剂; 1 mmHg=0.133 kPa | ||||
中重度OSA组白细胞(×109/L)[7.78(6.33,9.86)vs 7.29(6.01,9.16),P=0.006]、中性粒细胞(×109/L)[5.05(3.84,7.23)vs 4.80(3.74,6.66),P=0.044]、单核细胞(×109/L)[0.42(0.33,0.54)vs 0.39(0.31,0.51),P=0.033]、hs-CRP(mg/L)[3.18(1.10,11.52)vs 1.78(0.65,6.46),P < 0.01]、尿酸(μmol/L)[360(302,422)vs 341(283,407),P=0.006]、纤维蛋白原(g/L)[3.17(2.87,3.74)vs 2.97(2.59,3.50),P=0.002]高于正常-轻度OSA组,差异有统计学意义,两组ACS患者的实验室检查结果见表 2。
| 指标 | 正常-轻度OSA组(n=408) | 中重度OSA组(n=428) | Z值 | P值 |
| 白细胞(×109/L) | 7.29(6.10, 9.16) | 7.78(6.33, 9.86) | -2.742 | 0.006 |
| 中性粒细胞(×109/L) | 4.81(3.74, 6.66) | 5.05(3.84, 7.23) | -2.009 | 0.044 |
| 淋巴细胞(×109/L) | 1.80(1.33, 2.23) | 1.77(1.36, 2.32) | -0.658 | 0.511 |
| 单核细胞(×109/L) | 0.39(0.31, 0.51) | 0.42(0.33, 0.54) | -2.134 | 0.033 |
| 血小板(×109/L) | 215.00(182.00, 247.00) | 215.00(181.00, 254.00) | -0.092 | 0.927 |
| LDL(mmol/L) | 2.50(1.91, 3.10) | 2.52(2.01, 3.12) | -0.874 | 0.382 |
| HDL(mmol/L) | 1.01(0.85, 1.17) | 0.99(0.85, 1.12) | -1.497 | 0.134 |
| 总胆固醇(mmol/L) | 4.15(3.47, 4.95) | 4.20(3.58, 4.90) | -0.922 | 0.356 |
| 甘油三酯(mmol/L) | 1.45(1.06, 2.15) | 1.53(1.13, 2.23) | -1.746 | 0.081 |
| 高敏CRP(mg/L) | 1.78(0.65, 6.46) | 3.18(1.10, 11.52) | -4.202 | < 0.01 |
| 同型半胱氨酸(μmol/L) | 13.20(9.40, 19.10) | 13.10(9.50, 19.60) | -0.168 | 0.867 |
| 尿素(mmol/L) | 5.00(4.10, 6.20) | 5.10(4.30, 6.40) | -1.084 | 0.278 |
| 肌酐(μmol/L) | 73.05(64.03, 83.33) | 75.30(66.00, 84.80) | -1.898 | 0.058 |
| 尿酸(μmol/L) | 341.75(283.00, 407.70) | 360(301.80, 422.00) | -2.724 | 0.006 |
| 国际标准化比值 | 0.96(0.92, 1.02) | 0.96(0.93, 1.00) | -0.138 | 0.890 |
| 纤维蛋白原定量(g/L) | 2.97(2.59, 3.50) | 3.17(2.87, 3.74) | -3.052 | 0.002 |
| D二聚体(ng/mL) | 88.00(53.00, 137.00) | 86.00(56.00, 136.00) | -0.437 | 0.662 |
| 注:OSA,阻塞性睡眠呼吸暂停; LDL,低密脂蛋白胆固醇; HDL,高密脂蛋白胆固醇; CRP,C-反应蛋白 | ||||
在所有ACS患者中,不同严重程度的OSA比例分别为:14.4%,120例(AHI < 5次/h); 34.4%,288例(5次/h≤AHI < 15次/h); 24.8%,207例(15次/h≤AHI < 30次/h); 26.4%,221例(AHI > 30次/h)。除AHI外,中重度OSA组ODI[29.7(21.25,43)vs 7.8(4.20,11.25),P < 0.01]、TSaO2 < 90%[5(1.2,13.13)vs 0.25(0,1.43),P < 0.01]显著高于正常-轻度OSA组,最低SaO2[82(75,86)vs 84(87,90),P < 0.01]、平均SaO2[93(92,94.4)vs 95(94,96),P < 0.01]低于正常-轻度OSA组,差异有统计学意义。两组ACS患者的睡眠呼吸监测结果见表 3。
| 指标 | 正常-轻度OSA组(n=408) | 中重度OSA组(n=428) | Z值 | P值 |
| AHI | 7.40(3.83, 10.58) | 31.25(21.95, 43.88) | -25.018 | < 0.01 |
| ODI | 7.80(4.20, 11.25) | 29.70(21.25, 43.00) | -23.031 | < 0.01 |
| 最低SaO2(%) | 84.00(87.00, 90.00) | 82.00(75.00, 86.00) | -14.018 | < 0.01 |
| 平均SaO2(%) | 95.00(94.00, 96.00) | 93.00(92.00, 94.40) | -11.540 | < 0.01 |
| TSaO2 < 90%(%) | 0.25(0.00, 1.43) | 5.00(1.20, 13.13) | -14.327 | < 0.01 |
| 注:OSA,阻塞性睡眠呼吸暂停; AHI,呼吸暂停低通气指数; ODI,氧减指数; SaO2,血氧饱和度; TSaO2 < 90%,血氧饱和度 < 90%的时间百分比 | ||||
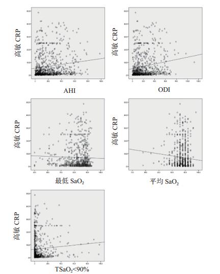
Spearman秩相关检验分析显示,AHI(相关系数= 0.171,R2=0.020,P < 0.01)、ODI(相关系数= 0.201,R2=0.027,P < 0.01)、TSaO2 < 90%(相关系数=0.105,R2=0.005,P < 0.01)与hs-CRP成正相关,最低SaO2(相关系数= -0.100,R2 =0.001,P=0.008)、平均SaO2(相关系数= -0.127,R2 =0.006,P < 0.01)与hs-CRP成负相关。睡眠呼吸监测相关参数与hs-CRP水平的相关性分析见表 4和图 1。
| 指标 | hs-CRP | ||
| 相关性系数 | R2 | P值 | |
| AHI | 0.171 | 0.020 | < 0.01 |
| ODI | 0.201 | 0.027 | < 0.01 |
| 最低SaO2 | -0.100 | 0.001 | 0.008 |
| 平均SaO2 | -0.127 | 0.006 | < 0.01 |
| TSaO2 < 90% | 0.105 | 0.005 | 0.004 |
| 注:hs-CRP,高敏C-反应蛋白; AHI,呼吸暂停低通气指数; ODI,氧减指数; SaO2,血氧饱和度; TSaO2 < 90%,血氧饱和度 < 90%的时间百分比 | |||
|
| CRP:C-反应蛋白; AHI:呼吸暂停低通气指数; ODI:氧减指数; SaO2:血氧饱和度; TSaO2 < 90%:血氧饱和度 < 90%的时间百分比 图 1 睡眠呼吸监测相关参数与hs-CRP水平的相关性 Fig 1 Correlation analysis of sleep parameters with hs-CRP |
|
|
本研究中伴OSA(AHI≥5次/h)的ACS患者占85.6%,远高于一般人群; AHI≥15次/h的中重度OSA患者高达51.2%,说明ACS患者的OSA患病率较高,程度较重。中重度OSA组患者的炎症标志物,如hs-CRP等明显高于正常-轻度OSA组,说明伴OSA的ACS患者的炎症反应更重。相关性分析显示睡眠呼吸检测的多项参数与hs-CRP均有相关性,进一步说明ACS患者炎症反应与OSA严重程度密切相关。伴中重度OSA的冠心病患者MACE(主要不良心血管事件)发生风险更高[13-14],因此,对于ACS患者应更加重视OSA的诊治。
既往研究中急性冠脉综合征或急性心肌梗死患者伴中重度OSA的比例为22%~76%[3],与本研究结果一致。中重度OSA组的BMI更高,研究发现肥胖既是ACS的危险因素,还易导致OSA的发生[1],OSA又进一步加重了ACS患者的病情,这可能是本研究中OSA组的既往PCI和CABG比例更高的原因。
心肌坏死等引起的炎症是ACS的重要发病机制之一,而CRP是心血管疾病重要的高敏炎症标志物[15]。CRP也是ACS预后的预测因素之一[16-17],降低CRP水平可降低心血管疾病发生风险,而高CRP水平与高MACE发生率和高病死率有关[18]。纤维蛋白原是机体在应对感染和炎症等时由肝脏中生成的一种凝血蛋白,其合成受炎症因子调控[19]。发生ACS时炎症反应处于急性期,凝血过程被激活,纤维蛋白原也相应升高[20],从而加剧了血小板聚集和内皮细胞损伤,增加心血管疾病的发生和预后不良风险[19, 21]。既往对一般人群的研究显示,OSA长期的间歇性低氧和睡眠剥夺会激活促炎细胞因子[22-23]。但针对ACS患者CRP及纤维蛋白原等炎症介质的影响的研究较少。在本研究中,中重度OSA组血清hs-CRP、纤维蛋白原水平及白细胞、中性粒细胞、单核细胞数均显著高于正常-轻度OSA组,说明伴OSA的ACS患者炎症反应更重[24]。既往一项研究将123例ACS患者分为OSA组(AHI≥5次/h)和无OSA组(AHI < 5次/h),发现OSA组的hs-CRP水平高于无OSA组,但纤维蛋白原水平差异无统计学意义,可能是与本研究的分组标准不同或样本量较小有关。本研究的相关性分析也显示,AHI、ODI、血氧饱和度等均与hs-CRP相关,OSA程度越重,hs-CRP水平越高。以上结果从炎症标志物方面提示OSA不利于ACS预后。既往研究虽发现伴中重度OSA的冠心病患者预后较差[25],但多未探讨OSA影响ACS的可能原因。本研究提示加重炎症反应可能是OSA不利于ACS患者预后的原因之一。
尿酸水平升高是心血管病患者死亡的危险因素,其产生伴随着活性氧簇(ROS)合成增强,而ROS在与低氧相关的组织损伤中起着重要作用[26]。OSA的长期缺氧-复氧模式可以导致低氧,这可能是中重度OSA组患者尿酸水平升高的主要因素[27]。高尿酸血症患者的平均氧饱和度较低,最低血氧饱和度是尿酸水平的预测因素[28]。本研究针对ACS患者,发现中重度OSA组尿酸水平高于正常-轻度OSA组,平均血氧饱和度、最低血氧饱和度则低于正常-轻度OSA组,提示OSA加重了ACS患者的氧化应激。
综上所述,伴中重度OSA(AHI≥15次/h)的ACS患者炎症标志物、尿酸等水平升高; 睡眠呼吸检测各项参数均与ACS患者的hs-CRP水平显著相关。以上结果说明OSA可能通过加剧炎症反应、氧化应激等影响ACS患者病情,在未来的ACS患者管理中应考虑OSA诊断和监测。下一步工作将增大样本量,完善随访工作,分析比较MACE等不良事件发生情况,进一步了解OSA对ACS预后所产生的影响。
| [1] | 中华医学会呼吸病学分会睡眠呼吸障碍学组. 阻塞性睡眠呼吸暂停低通气综合征诊治指南(2011年修订版)[J]. 中华结核和呼吸杂志, 2012, 35(1): 9-12. DOI:10.3760/cma.j.issn.1001-0939.2012.01.007 |
| [2] | Peppard PE, Young T, Barnet JH, et al. Increased prevalence of sleep-disordered breathing in adults[J]. Am J Epidemiol, 2013, 177(9): 1006-1014. DOI:10.1093/aje/kws342 |
| [3] | Zhao YK, Yu BYM, Liu YF, et al. Meta-analysis of the effect of obstructive sleep apnea on cardiovascular events after percutaneous coronary intervention[J]. Am J Cardiol, 2017, 120(6): 1026-1030. DOI:10.1016/j.amjcard.2017.06.035 |
| [4] | Buchner S, Satzl A, Debl K, et al. Impact of sleep-disordered breathing on myocardial salvage and infarct size in patients with acute myocardial infarction[J]. Eur Heart J, 2014, 35(3): 192-199. DOI:10.1093/eurheartj/eht450 |
| [5] | Nakashima H, Muto S, Amenomori K, et al. Impact of obstructive sleep apnea on myocardial tissue perfusion in patients with ST-segment elevation myocardial infarction[J]. Circ J, 2011, 75(4): 890-896. DOI:10.1253/circj.cj-10-0768 |
| [6] | Kasai T, Floras JS, Bradley TD. Sleep apnea and cardiovascular disease:a bidirectional relationship[J]. Circulation, 2012, 126(12): 1495-1510. DOI:10.1161/CIRCULATIONAHA.111.070813 |
| [7] | Lukin A, Novak K, Polić S, et al. Prognostic value of low and moderately elevated C-reactive protein in acute coronary syndrome:a 2-year follow-up study[J]. Med Sci Monit, 2013, 19(10): 777-786. DOI:10.12659/MSM.884014 |
| [8] | Wu H, Yuan X, Wang L, et al. The relationship between obstructive sleep apnea hypopnea syndrome and inflammatory markers and quality of life in subjects with acute coronary syndrome[J]. Respir Care, 2016, 61(9): 1207-1216. DOI:10.4187/respccare.04571 |
| [9] | Jneid H, Anderson JL, Wright RS, et al. 2012 ACCF/AHA focused update of the guideline for the management of patients with unstable angina/non-ST-elevation myocardial infarction (updating the 2007 guideline and replacing the 2011 focused update):a report of the American College of Cardiology Foundation/American Heart Association Task Force on Practice Guidelines[J]. J Am Coll Cardiol, 2012, 60(7): 645-681. DOI:10.1016/j.jacc.2012.06.004 |
| [10] | Punjabi NM. The epidemiology of adult obstructive sleep apnea[J]. Proc Am Thorac Soc, 2008, 5(2): 136-143. DOI:10.1513/pats.200709-155MG |
| [11] | Ferber R, Millman R, Coppola M, et al. Portable recording in the assessment of obstructive sleep apnea[J]. Sleep, 1994, 17(4): 378-392. DOI:10.1093/sleep/17.4.378 |
| [12] | Ayas NT, Fox J, Epstein L, et al. Initial use of portable monitoring versus polysomnography to confirm obstructive sleep apnea in symptomatic patients:an economic decision model[J]. Sleep Med, 2010, 11(3): 320-324. DOI:10.1016/j.sleep.2009.08.015 |
| [13] | Qu H, Guo M, Zhang Y, et al. Obstructive sleep apnea increases the risk of cardiac events after percutaneous coronary intervention: a meta-analysis of prospective cohort studies[J]. Sleep Breath, 2018, 22(1): 33-40. DOI:10.1007/s11325-017-1503-8 |
| [14] | Lee CH, Sethi R, Li RG, et al. Obstructive sleep apnea and cardiovascular events after percutaneous coronary intervention[J]. Circulation, 2016, 133(21): 2008-2017. DOI:10.1161/circulationaha.115.019392 |
| [15] | Bisoendial RJ, Boekholdt SM, Vergeer M, et al. C-reactive protein is a mediator of cardiovascular disease[J]. Eur Heart J, 2010, 31(17): 2087-2091. DOI:10.1093/eurheartj/ehq238 |
| [16] | Caixeta A, Stone GW, Mehran R, et al. Predictive value of C-reactive protein on 30-day and 1-year mortality in acute coronary syndromes:an analysis from the ACUITY trial[J]. J Thromb Thrombolysis, 2011, 31(2): 154-164. DOI:10.1007/s11239-010-0516-y |
| [17] | Pearson TA, Mensah GA, Hong Y, et al. CDC/AHA Workshop on Markers of Inflammation and Cardiovascular Disease:Application to Clinical and Public Health Practice:overview[J]. Circulation, 2004, 110(25): e543-544. DOI:10.1161/01.CIR.0000148979.11121.6B |
| [18] | Yip HK, Hang CL, Fang CY, et al. Level of high-sensitivity C-reactive protein is predictive of 30-day outcomes in patients with acute myocardial infarction undergoing primary coronary intervention[J]. Chest, 2005, 127(3): 803-808. DOI:10.1378/chest.127.3.803 |
| [19] | Shamsuzzaman A, Amin RS, Calvin AD, et al. Severity of obstructive sleep apnea is associated with elevated plasma fibrinogen in otherwise healthy patients[J]. Sleep Breath, 2014, 18(4): 761-766. DOI:10.1007/s11325-014-0938-4 |
| [20] | Lowe GDO. Can haematological tests predict cardiovascular risk? The 2005 Kettle Lecture[J]. Br J Haematol, 2006, 133(3): 232-250. DOI:10.1111/j.1365-2141.2006.06021.x |
| [21] | 马尚超, 张曙光, 孙同文, 等. 纤维蛋白原对急性冠脉综合征经皮冠状动脉介入术预后的判断价值[J]. 中华急诊医学杂志, 2014, 23(4): 433-438. DOI:10.3760/cma.j.issn.1671-0282.2014.04.019 |
| [22] | Vgontzas AN, Papanicolaou DA, Bixler EO, et al. Circadian interleukin-6 secretion and quantity and depth of sleep[J]. J Clin Endocrinol Metab, 1999, 84(8): 2603-2607. DOI:10.1210/jcem.84.8.5894 |
| [23] | Greenberg H, Ye X, Wilson D, et al. Chronic intermittent hypoxia activates nuclear factor-kappaB in cardiovascular tissues in vivo[J]. Biochem Biophys Res Commun, 2006, 343(2): 591-596. DOI:10.1016/j.bbrc.2006.03.015 |
| [24] | Meng S, Fang L, Wang CQ, et al. Impact of obstructive sleep apnoea on clinical characteristics and outcomes in patients with acute coronary syndrome following percutaneous coronary intervention[J]. J Int Med Res, 2009, 37(5): 1343-1353. DOI:10.1177/147323000903700509 |
| [25] | Nakashima H, Kurobe M, Minami K, et al. Effects of moderate-to-severe obstructive sleep apnea on the clinical manifestations of plaque vulnerability and the progression of coronary atherosclerosis in patients with acute coronary syndrome[J]. Eur Heart J Acute Cardiovasc Care, 2015, 4(1): 75-84. DOI:10.1177/2048872614530865 |
| [26] | Kapur VK. Obstructive sleep apnea:diagnosis, epidemiology, and economics[J]. Respir Care, 2010, 55(9): 1155-1167. DOI:10.4104/pcrj.2010.00056 |
| [27] | Sunnetcioglu A, Gunbatar H, Yıldız H. Red cell distribution width and uric acid in patients with obstructive sleep apnea[J]. Clin Respir J, 2018, 12(3): 1046-1052. DOI:10.1111/crj.12626 |
| [28] | Hirotsu C, Tufik S, Guindalini C, et al. Association between uric acid levels and obstructive sleep apnea syndrome in a large epidemiological sample[J]. PLoS One, 2013, 8(6): e66891. DOI:10.1371/journal.pone.0066891 |
2019, Vol. 28



